有趣的经济学

有趣的经济学(第57期)|工作996, 生病ICU? 可能是公司福利太好

蒙格斯智库

时间:2019-04-11

导 言

最近,一个名为“996.ICU”的项目在知名代码存储平台Github上被创建,以此来控诉国内互联网公司加班严重的现象。什么是996.ICU?即工作996,生病ICU的缩写。996工作制就是指每天早上9点上班,工作到晚上9点,并且每周工作6天,周工作时间长达72小时。

如此累人的工作制有意义吗?为什么其他行业鲜有如此苛刻的制度?

除了竞争,长时间的加班可能跟公司的福利有关。2018年发表于《LABOUR》杂志的论文Long Working Hours Make Us Less Productive but Also Less Costly对加班的原因进行了分析。其作者为比利时那慕尔大学的经济学家Francoise Delmez以及来自鲁汶大学的经济学家Vincent Vandenberghe。

利用比利时企业级的生产、劳动力成本、工人和工时的数据,研究发现,尽管工作时间的减少明显提高了生产率,但面临大量准固定劳动力成本(可以近似的理解为除工资外的福利)的公司选择了更高的工作时间水平来支付此类准固定劳动力成本。

关于“996”

实际上自2016年9月初起,就陆续有网友爆料,58同城实行全员996工作制,且周末加班没有工资。今年1月,有赞年会成了鸿门宴,公司在年会上宣布将执行996工作制。今年3月,网曝京东开始实行分部门的996或995工作制。创新工场创始人李开复2018年在芝加哥的一次演讲中提到了中国互联网公司的3大竞争优势,其中之一就是996工作制。

996.ICU项目在程序员领域被广泛关注,甚至有声音希望各开源库的程序员添加附属协议,禁止中国的996工作制公司访问。这次事件也引发了有“Python之父”之称的Guido van Rossum的发声,他在社交媒体上表示:996工作制是不人道的。

数据说明

文章选取了Bel-First数据库中所有比利时营利性企业的数据,包含从2007-2015年共计115337个数据,涵盖14544个员工数量大于20人的企业。描述性统计结果如下:

文中选择员工平均附加值、平均劳动力成本、单位资本、员工数量和工作时间等指标,并区分了全职员工和兼职员工的不同。

模型及结果

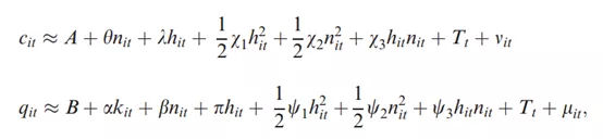
文中使用上述比利时年度公司层面的总劳动力成本数据(包含工资、社会保障缴款和带薪假期、年度奖金等),以及每个公司的年度工时和工人人数信息。由于没有观察到固定成本和单位工资对工作时间的弹性,但这些弹性可以通过分别估计n阶多项式来近似得到。对于二阶近似,有如下模型:

研究者利用上述模型进行分析,得到如下结果:

工作时间不仅在个人之间变化,而且在公司之间,甚至在公司内部也会随着时间的推移而变化。在过去的几十年里,大多数经济学家都认同这样一种观点,即工作时间的长短主要与个人偏好有关(不考虑劳动法规),而文中主要探讨雇主对工作时间偏好的作用,特别是准固定劳动力成本的作用。

主要结论

实证结果显示,增加1%的工时只会增加0.8%的产量,符合工作时间边际回报递减的假设,以及生产过程中工时和工人之间不完全可替代的假设。另外,工人成本的20%-23%是独立于工时的,因此,即使其平均劳动生产率会受到影响,一家典型的营利性公司仍然有提高工作时间的动机,以取得准固定劳动力成本的回报。这就解释了为什么有些行业(即那些准固定劳动力成本较高的行业)的特点是工作时间较长,兼职雇佣人员的倾向较低。研究还发现,相对于临时或者兼职人员,准固定劳动力成本对于全职员工更为重要。同样,这可以解释雇主不愿让前者减少工作时间,即使他们接受严格按比例减少工资。

1554890194185005.jpg

评论
推荐阅读

有趣的拍卖——诺贝尔经济学奖获奖论文介绍

首次提出了附加价值模型,为拍卖理论贡献了基础性结论。

蒙格斯报告 2020-10-21

妻子收入越高,丈夫压力越大?

唯有增加夫妻间的沟通交流,才能更好地维护女性工作的权利以及家庭和睦的关系。

蒙格斯报告 2020-10-15

女性高管多反而不利于改善其他领域的男女不平等现象

薪酬方面的性别不平等就可能会被忽略。

蒙格斯报告 2020-09-30